Front cover

◂ Last issue Next issue ▸ Archive Cover PDF   

Volume 22 (10); 2025

Research Papers

Graphic abstract

Comparison of Load Distribution in Subperiosteal Implants and Mini Plates in Orthognathic Surgery Metin Berk Kasapoglu, Zeynep Afra Akbiyik Az Int. J. Med. Sci. 2025; 22(10): 2257-2268. doi:10.7150/ijms.111111 Full text PDF PubMed PMC


Graphic abstract

Risk of New-Onset Hidradenitis Suppurativa in People with Polycystic Ovary Syndrome: a large-scale propensity-score-matched cohort study Shuo-Yan Gau, Chia-Chi Chang, Wei-Ting Hsu, Yen-Ju Chu, Yu-Chiao Ku, Hao Lin, Shiu-Jau Chen, Hui-Chin Chang Int. J. Med. Sci. 2025; 22(10): 2269-2276. doi:10.7150/ijms.110774 Full text PDF PubMed PMC


Graphic abstract

The Uric Acid to Albumin Ratio Predicts All-cause and Cardiovascular Mortality Among U.S. Adults Results from the National Health and Nutrition Examination Survey in 2003-2018 Guangyu Wang, Guangyu Li, Pengfei Wang, Minhua Zang, Jun Pu Int. J. Med. Sci. 2025; 22(10): 2277-2288. doi:10.7150/ijms.106664 Full text PDF PubMed PMC


Graphic abstract

Circulating short chain fatty acid levels and body composition in type 2 diabetes mellitus Ching-Hua Hsu, Yi-Chun Tsai, Ping-Shaou Yu, Wei-Wen Hung, Wei-Chun Hung, Shang-Jyh Hwang, Hui-Ju Tsai Int. J. Med. Sci. 2025; 22(10): 2289-2297. doi:10.7150/ijms.111920 Full text PDF PubMed PMC


Graphic abstract

Long-term BPV is an Independent Risk Factor for Renal Prognosis in Hypertensive Patients — a Post-hoc Analysis of the SPRINT Study Yuyi Ruan, Yutong Chen, Naya Huang, Dan Wang, Yuzhu Xu, Jinjin Fan, Wei Chen, Xin Wang Int. J. Med. Sci. 2025; 22(10): 2298-2307. doi:10.7150/ijms.111843 Full text PDF PubMed PMC


Graphic abstract

Ellagic acid suppresses the human renal carcinoma cell migration and invasion by targeting the RUNX2/MMP1 expression Po-Yu Huang, Tung-Wei Hung, Yi-Hsien Hsieh, Pei-Jen Wu, Pei-Ni Chen, Chu-Che Lee, Jen-Pi Tsai Int. J. Med. Sci. 2025; 22(10): 2308-2317. doi:10.7150/ijms.112117 Full text PDF PubMed PMC


Graphic abstract

Cracking Chordoma's Conundrum: Immune Checkpoints Provide a Potential Modality Weihai Liu, Moksada Regmi, Xiaodong Chen, Shikun Liu, Ying Xiong, Yuwei Dai, Yingjie Wang, Jun Yang, Chenlong Yang Int. J. Med. Sci. 2025; 22(10): 2318-2332. doi:10.7150/ijms.109721 Full text PDF PubMed PMC


Graphic abstract

Population Pharmacokinetic-pharmacodynamic Model Analysis of Dapagliflozin for HbA1c-lowering Effects in Japanese Patients with Type 2 Diabetes Mellitus using Long-term Real-world Data Shinji Kobuchi, Shuhei Sakai, Ryosuke Terada, Ken-Ichiro Kato, Tetsuo Hayakawa, Toshiyuki Sakaeda Int. J. Med. Sci. 2025; 22(10): 2333-2341. doi:10.7150/ijms.111519 Full text PDF PubMed PMC


Graphic abstract

An Easy-to-Use Risk Stratification System for NSTE-ACS Patients Combining Autonomic Nervous System and Coronary Physiology Xiaomeng Yang, Zeyan Li, Xinyu Liu, Tianyou Xu, Fu Yu, Shoupeng Duan, Qiang Deng, Lang Wang, Zhuo Wang, Hong Jiang, Lilei Yu Int. J. Med. Sci. 2025; 22(10): 2342-2353. doi:10.7150/ijms.111214 Full text PDF PubMed PMC


Graphic abstract

Pre-thrombectomy cerebral edema affects outcomes in acute stroke patients treated with thrombectomy Lu Yang, Yuan Kan, Changhong Ren, Sijie Li, Chuanhui Li, Longfei Wu, Jiali Xu, Wenting Guo, Haiqing Song, Qingfeng Ma, Wenbo Zhao, Xunming Ji Int. J. Med. Sci. 2025; 22(10): 2354-2361. doi:10.7150/ijms.105692 Full text PDF PubMed PMC


Graphic abstract

Carboxyamidotriazole Regulates the Function of Salivary Gland Epithelial Cells and B Cells to Alleviate Experimental Sjögren′s Disease in Mice Xiaojuan Zhang, Jingwen Liu, Mei Yang, Juan Li, Lei Zhu Int. J. Med. Sci. 2025; 22(10): 2362-2372. doi:10.7150/ijms.111897 Full text PDF PubMed PMC


Graphic abstract

Advantage of Tolerability following Arsenic Trioxide-VTD vs VRD in newly diagnosed multiple myeloma patients: a prospective, open-label study Xinyu Zuo, Apeng Yang, Pingping Chen, Yanhui Xie, Zhiyong Zeng, Jiexian Ma Int. J. Med. Sci. 2025; 22(10): 2373-2381. doi:10.7150/ijms.110231 Full text PDF PubMed PMC


Graphic abstract

Cardiovascular System is Influenced by Skeletal Muscle-derived Extracellular Vesicles, Myokines and MicroRNAs Based on Interorgan Communication: A Systematic Review Jiaxin Chen, Jingxin Zong, Sha Su, Xiang Ji, Lei Wang, Xiaowan Han, Mingjing Zhao Int. J. Med. Sci. 2025; 22(10): 2382-2397. doi:10.7150/ijms.111775 Full text PDF PubMed PMC


Graphic abstract

Associations of the Total Cholesterol/high-density Lipoprotein Cholesterol Ratio with Outcomes in Lupus Nephritis Xiaolei Shi, Yaoyao Tang, Wang Xiang, Jianwen Yu, Xin Wang, Hongjian Ye, Zhong Zhong, Haishan Wu, Ruihan Tang, Xi Xia, Wei Chen Int. J. Med. Sci. 2025; 22(10): 2398-2407. doi:10.7150/ijms.106393 Full text PDF PubMed PMC


Graphic abstract

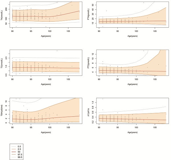
Establishment of Reference Intervals for Serum Thyroid-related Hormones in the Chinese Oldest-old Dizhi Liu, Sihang Fang, Danni Gao, Zhaoping Wang, Tenger Wang, Lei Tang, Mingjun Jiang, Juan Jiao, Hongye Zhao, Huabin Su, Rongqiao Li, Bin Huang, Yuan Lv, Guofang Pang, Caiyou Hu, Ze Yang, Huiping Yuan Int. J. Med. Sci. 2025; 22(10): 2408-2418. doi:10.7150/ijms.109606 Full text PDF PubMed PMC


Graphic abstract

Targeting SNRPE to Induce Pyroptosis Enhances Antitumor Immunity in Breast Cancer Zaixiong Ji, Zilin Wang, Xinyu Guo, Junjian Li, Yiran Cai, Kangan Li Int. J. Med. Sci. 2025; 22(10): 2419-2433. doi:10.7150/ijms.109171 Full text PDF PubMed PMC


Graphic abstract

The Immature Infant Liver: Cytochrome P450 Enzymes and their Relevance to Vaccine Safety and SIDS Research Gary S. Goldman, Richard Z. Cheng Int. J. Med. Sci. 2025; 22(10): 2434-2445. doi:10.7150/ijms.114402 Full text PDF PubMed PMC


Graphic abstract

CEP55 as a prognostic indicator and a predictive marker in oral squamous cell carcinoma Ying Han, Xin Hu, Haofeng Xiong, Liujun Zeng, Ying Peng, Tong Su Int. J. Med. Sci. 2025; 22(10): 2446-2459. doi:10.7150/ijms.107996 Full text PDF PubMed PMC


Graphic abstract

Characterizing the gut microbiota composition in Taiwanese hypertensive patients using 16S rRNA sequencing analysis Ming-Shan Chen, Shin-Kuang Jiang, Zhi-Yong Chong, Jou-Wei Chiang, Yan-Min Chen, Hsin-Yu Huang, Jui-Chieh Chen Int. J. Med. Sci. 2025; 22(10): 2460-2469. doi:10.7150/ijms.109340 Full text PDF PubMed PMC


Graphic abstract

Exploring Renin-angiotensin System Genes as Novel Prognostic Biomarkers for Oral Squamous Cell Carcinoma Zhengzheng Wu, Can Wang, Jiusong Han, Xiaobing Chen, Jie Wu, Bin Cheng, Juan Wang Int. J. Med. Sci. 2025; 22(10): 2470-2487. doi:10.7150/ijms.112735 Full text PDF PubMed PMC


Graphic abstract

Screening and identification of versican as a sensitive biomarker and potential therapeutic target in basal cell carcinoma Wenlin Li, Yang Wang, Qiang Hu, Sainan Li, Dachuan Guo, Lin Liu, Xiuqing Huang, Lin Dou, Qi Zhou, Tao Shen, Jianmin Chang Int. J. Med. Sci. 2025; 22(10): 2488-2501. doi:10.7150/ijms.105650 Full text PDF PubMed PMC


Graphic abstract

Identification of an Anoikis-associated LncRNA Signature to Predict the Clinical Prognosis and Immune Function of Patients with Endometrial Cancer Guanxiao Chen, Ting Zhou, Xiaoyu Shen, Wan Shu, Shuyang Yu, Kejun Dong, Piotr Laudański, Klaudia Gutowska, Shuangshuang Cheng, Hongbo Wang Int. J. Med. Sci. 2025; 22(10): 2502-2517. doi:10.7150/ijms.107243 Full text PDF PubMed PMC


Graphic abstract

Endothelial TIE2 Mutation Induced Contraction Deficiency of Vascular Smooth Muscle Cells via Phenotypic Transition Regulation in Venous Malformations Zhong Du, Fan Yu, Yuan He You, Zhi Yang Zhao, Zhuo Wei Tian, Meng Xiao, Yan An Wang Int. J. Med. Sci. 2025; 22(10): 2518-2532. doi:10.7150/ijms.102700 Full text PDF PubMed PMC


Graphic abstract

Targeting Tumor Differentiation Grade-related Genes Prognostic Signature Including COL5A1 Based on Single-cell RNA-seq in Gastric Cancer Jianming Wei, Xibo Gao, Zhufeng Li, Yangpu Jia, Chuan Li, Jian Liu Int. J. Med. Sci. 2025; 22(10): 2533-2544. doi:10.7150/ijms.107509 Full text PDF PubMed PMC

Popup Image